Q.- Adenosine triphosphate (ATP) is the energy currency within the cell. Which of the following best describes the type of compound ATP is?
A. Phospholipid
B. Amino acid
C. Nucleotide
D. Triacylglycerol
E. Oligosaccharide.
Details
The correct answer is -C- Nucleotide.
The nucleotide coenzyme adenosine triphosphate (ATP) is the most important form of chemical energy in all cells. All fuel sources of Nature, all foodstuffs of living things, produce ATP, which in turn powers virtually every activity of the cell and organism. The cleavage of ATP is strongly exergonic. The energy provided is used to drive endergonic processes (such as biosynthesis and movement and transport processes) through energetic coupling. ATP is the “most widely distributed high-energy compound within the human body.”
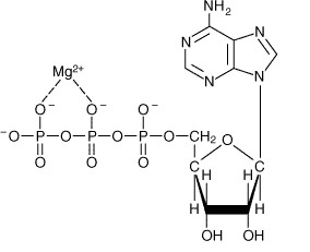
Structure of ATP- In ATP, a chain of three phosphate residues is linked to the 5′-OH group of the nucleoside adenosine (figure-1). These phosphate residues are termed α, β, and γ. The α phosphate is bound to ribose by a phosphoric acid ester bond. The linkages between the three phosphate residues, on the other hand, involve much more unstable phosphoric acid anhydride bonds. The active coenzyme is, in fact, generally a complex of ATP with an Mg2+ ion, which is coordinatively bound to the β and γ phosphates (Mg2+ ATP4–)- Figure-1.

Figure 1- ATP is a nucleoside triphosphate containing adenine, ribose, and three phosphate groups.
Energy is usually liberated from the ATP molecule to do work in the cell by a reaction that removes one of the phosphate-oxygen groups, leaving adenosine diphosphate (ADP) Figure 2. When the ATP converts to ADP, the ATP is said to be spent. Then, the ADP is usually immediately recycled in the mitochondria, where it is recharged and comes out again as ATP.

Figure 2- Adenosine attached to two or one phosphate residue is called Adenosine di and monophosphate, respectively. The symbol ~ indicates that the group attached to the bond, on transfer to an appropriate acceptor, results in the transfer of a larger quantity of free energy.
Mechanisms of ATP formation –
There are two basic mechanisms involved in ATP formation-
1) Substrate level phosphorylation, and
2) Oxidative phosphorylation
1) Substrate level phosphorylation– involves phosphorylation of ADP to form ATP at the expense of the energy of the parent substrate molecule without involving the electron transport chain.
The substrate is a high-energy compound compared to the product, and the surplus energy is used for ATP formation.
Examples-
a) Glycolysis
i) At the level of conversion of 1,3 BPG to 3, Phosphoglycerate catalyzed by phosphoglycerate kinase, two molecules of ATP are formed at this stage per molecule of glucose undergoing glycolysis (figure 3).

Figure-3- showing the ATP formation at the expense of the energy of 1,3 bisphosphoglycerate.
ii) At the level of conversion of phosphoenolpyruvate to pyruvate
The phosphate of phosphoenolpyruvate is transferred to ADP by pyruvate kinase to form two molecules of ATP per molecule of glucose oxidized (figure 4).

Figure 4- showing the ATP formation at the expense of the energy of Phosphoenolpyruvate
b) TCA cycle
i) At the level of conversion of Succinyl co A to Succinate (figure 5).

Figure 5- ATP formation in the TCA Cycle through substrate-level phosphorylation. In the cells where active gluconeogenesis takes place, GTP is formed instead of ATP.
Succinyl-CoA is converted to succinate by the enzyme succinate thiokinase (succinyl-CoA synthetase). This is the only example in the citric acid cycle of substrate-level phosphorylation.
c) Another “energy-rich” phosphate compound is creatine phosphate, which is formed from ATP in muscle and can regenerate ATP as needed (figure 6).

Figure 6- shows the ATP formation at the expense of the high energy of creatine Phosphate.
2) Oxidative phosphorylation
Most cellular ATP does not arise in the way described above (i. e., by transfer of phosphate residues from organic molecules to ADP), but rather by oxidative phosphorylation. This process takes place in mitochondria (or as light-driven phosphorylation in chloroplasts) and is energetically coupled to a proton gradient over a membrane. These H+ gradients are established by the electron transport chain (Figure-7) and are used by the enzyme ATP synthase as a source of energy for the direct linking of inorganic phosphate to ADP. In contrast to substrate-level phosphorylation, oxidative phosphorylation requires the presence of oxygen (i.e., aerobic conditions).

Figure 7- The flow of electrons in the electron transport chain guides the flow of protons from the mitochondrial matrix to the intermembranous space. The building up of the electrochemical gradient in the intermembranous space guides the flow of protons through the ATP synthase complex back into the matrix. 40 percent of the energy released by the proton flow is captured in the form of ATP
ATP can donate single phosphate, two phosphates, or even Adenosine moiety to suitable acceptors for the formation of important biological compounds.
As regards other options
Phospholipids are compound lipids
B. Amino acids are the building blocks of proteins
C. Nucleotide- Correct answer. A nucleotide is composed of a base, sugar, and a phosphate
D. Triacylglycerol is the storage form of lipid
E. Oligosaccharide is a short polymer of monosaccharides.




