Ketogenesis
Ketogenesis takes place in the liver using Acetyl CoA as a substrate or a precursor molecule. Enzymes responsible for ketone body formation are associated mainly with the mitochondria.
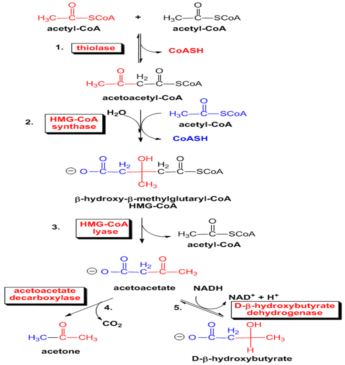
Steps of synthesis-Acetoacetate (the first ketone body) is formed from acetyl CoA in three steps (figure ).
1)Two molecules of acetyl CoA condense to form Acetoacetyl CoA. This reaction, which is catalyzed by thiolase, is the reverse of the thiolysis step in the oxidation of fatty acids.
2)Acetoacetyl CoA then reacts with acetyl CoA and water to give 3-hydroxy-3-methylglutaryl CoA (HMG-CoA) and CoA. The reaction is catalyzed by HMG CoA synthase. This enzyme is exclusively present in liver mitochondria. There are two isoforms of this enzyme-cytosolic and mitochondrial. The mitochondrial enzyme is needed for ketogenesis, while the cytosolic form is associated with cholesterol biosynthesis.
This condensation resembles the one catalyzed by citrate synthase. This reaction, which has a favorable equilibrium owing to the hydrolysis of a thioester linkage, compensates for the unfavorable equilibrium in the formation of Acetoacetyl CoA. 3)3-Hydroxy-3-methylglutaryl CoA is then cleaved to acetyl CoA and acetoacetate in the presence of HMG Co-A lyase (figure)
The carbon atoms split off in the acetyl-CoA molecule are derived from the original Acetoacetyl-CoA molecule. Both enzymes must be present in mitochondria for ketogenesis to take place. This occurs solely in liver and rumen epithelium,
The sum of these reactions is
![]()
The other two ketone bodies-Acetone and D(-)- 3-Hydroxybutyrate, are formed from Acetoacetate, the primary ketone body.
4) Acetone is formed by decarboxylation in the presence of decarboxylase enzyme, and because it is a beta-keto acid, acetoacetate also undergoes a slow, spontaneous decarboxylation to acetone. The odor of acetone may be detected in the breath of a person who has a high level of acetoacetate in the blood. “Acetone-breath” has been used as a crude method of diagnosing individuals with untreated Type I diabetes mellitus.
5) D(-)-3-hydroxybutyrate is formed by the reduction of acetoacetate in the mitochondrial matrix by D(-)3-hydroxybutyrate dehydrogenase. D(-)-3-Hydroxybutyrate is quantitatively the predominant ketone body present in the blood and urine in ketosis. The β-hydroxybutyrate dehydrogenase reaction has two functions: 1) it stores energy equivalent to an NADH in the ketone body for export to the tissues, and 2) it produces a more stable molecule. Acetoacetate and β-hydroxybutyrate, in particular, also serve as major substrates for the biosynthesis of neonatal cerebral lipids.
The β hydroxybutyrate to acetoacetate ratio depends on the NADH/NAD+ ratio inside mitochondria. If NADH concentration is high, the liver releases a higher proportion of β-hydroxybutyrate.
In vivo, the liver appears to be the only organ in nonruminants to add significant quantities of ketone bodies to the blood. Extrahepatic tissues utilize them as respiratory substrates. The net flow of ketone bodies from the liver to the extrahepatic tissues results from active hepatic synthesis coupled with very low utilization. The reverse situation occurs in extrahepatic tissues.
While an active enzymatic mechanism produces acetoacetate from Acetoacetyl-CoA in the liver, acetoacetate, once formed, cannot be reactivated directly except in the cytosol, where it is used in a much less active pathway as a precursor in cholesterol synthesis. This accounts for the net production of ketone bodies by the liver.
Why are three enzymes required to synthesize acetoacetate?
An enzyme that cleaves the thioester bond of the thiolase product Acetoacetyl-CoA would also produce acetoacetate, but such a Thioesterase does not seem to exist. The reason for the multienzyme pathway is not understood. However, the pathway that does exist is not especially wasteful; the third acetyl-CoA used merely acts catalytically.
Because the cell needs to have HMG-CoA synthase for other purposes, the choice is in having HMG-CoA lyase. It is possible that having two mitochondrial enzymes (HMG-CoA synthase and HMG-CoA lyase) required for ketone body synthesis assists in controlling the pathway.

Figure- showing the steps of ketogenesis




