Case details
A 54- year-old man with Type 1 diabetes is referred to an ophthalmologist for evaluation of developing cataracts. Blood chemistry results are shown below:
Fasting blood glucose 198 mg/dl
Hemoglobin A 15 gm/dl
Hemoglobin A1c 10% of total Hb
Urine ketones Positive
Urine glucose Positive
Which of the following enzymes is most strongly associated with ketone formation in this patient?
A) Pyruvate dehydrogenase complex
B) Thioesterase
C) Thiophorase
D) Thiokinase
E) Thiolase
Case discussion
Blood chemistry reveals hyperglycemia, high Hb A1c, ketonuria, and glucosuria. The patient is, therefore, suffering from uncontrolled diabetes mellitus with ketoacidosis.
The enzyme which is most strongly associated with ketone formation is ‘Thiolase’.
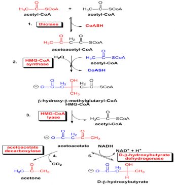
Thiolase catalyzes the first step of ketogenesis, which involves condensing 2 Acetyl CoA molecules to form Acetoacetyl CoA (Figure 1).

Figure 1- Steps of ketogenesis- showing the reaction catalyzed by thiolase
Thiolase is also involved in the de novo pathway of cholesterol biosynthesis (figure 2):

Figure 2- Pathway of cholesterol biosynthesis showing the reaction catalyzed by Thiolase
Thiolase is involved in the last step of thiolytic cleavage of Acetoacetyl CoA in the beta-oxidation of fatty acids also (figure 3):

Figure-3 Thiolytic cleavage of Aetoacetyl CoA in the pathway of beta-oxidation of fatty acids
As regards other options:
Pyruvate dehydrogenase complex catalyzes the oxidative decarboxylation of Pyruvate to Acetyl Co-A (figure 4):

Figure-4- Reaction catalyzed by Pyruvate dehydrogenase complex
Thioesterase is a component of the “ releasing unit of the Fatty acid synthase complex. It catalyzes the release of newly synthesized fatty acid from the Acyl Carrier protein of the fatty acid synthase enzyme complex (figure 5):

Figure- 5 – The reaction catalyzed by Thioesterase
The enzyme Thiophorase is involved in the utilization of ketone bodies. This enzyme is absent in the hepatocytes, which is why ketone bodies can not be utilized by liver cells (figure 6).

Figure-6- The reaction catalyzed by Thiophorase (enzyme2), also called Succinyl co A: Acetoacetate co A transferase.
Thiokinase, for example, catalyzes the activation of fatty acids before their oxidation. It is also called Acyl Co A synthetase. The reaction catalyzed by thiokinase is shown in Figure (7).

Figure 7- The reaction catalyzed by Thiokinase
Another enzyme, Succinyl CoA Thiokinase, catalyzes the conversion of Succinyl CoA to succinate in the TCA cycle, which is an example of Substrate level phosphorylation.
Therefore, the most appropriate option out of the above is thiolase.




