Gene regulation is significantly more complex in eukaryotes than in prokaryotes for a number of reasons-
1) Large Genome
First, the genome being regulated is significantly larger. The E. coli genome consists of a single, circular chromosome containing 4.6 Mb. This genome encodes approximately 2000 proteins. In comparison, the genome within a human cell contains 23 pairs of chromosomes ranging in size from 50 to 250 Mb. Approximately 40,000 genes are present within the 3000 Mb of human DNA. It would be very difficult for a DNA-binding protein to recognize a unique site in this vast array of DNA sequences. Consequently, more elaborate mechanisms are required to achieve specificity.
2) Complex Genome
Another source of complexity in eukaryotic gene regulation is the many different cell types present in most eukaryotes. Liver and pancreatic cells, for example, differ dramatically in the genes that are highly expressed.
3) Widely spread genes- No well-defined operons
Moreover, eukaryotic genes are not generally organized into operons. Instead, genes that encode proteins for steps within a given pathway are often spread widely across the genome.
4) Compact Genome
The DNA in eukaryotic cells is extensively folded and packed into the protein-DNA complex called chromatin. Histones are an important part of this complex since they form the structures known as nucleosomes and also contribute significantly into gene regulatory mechanisms.
5) Uncoupled transcription and Translation
Finally, transcription and translation are uncoupled in eukaryotes, eliminating some potential gene-regulatory mechanisms.
Mechanism of regulation of gene expression in Eukaryotes
1) Chromatin Remodeling
Chromatin structure provides an important level of control of gene transcription. Large regions of chromatin are transcriptionally inactive, while others are either active or potentially active. With few exceptions, each cell contains the same complement of genes (antibody-producing cells are a notable exception). The development of specialized organs, tissues, and cells and their function in the intact organism depends upon the differential expression of genes. Some of this differential expression is achieved by having different regions of chromatin available for transcription in cells from various tissues. For example, the DNA containing the β-globin gene cluster is in “active” chromatin in the reticulocyte but in “inactive” chromatin in muscle cells.
Formation and disruption of nucleosome structure
The presence of nucleosomes and of complexes of histones and DNA certainly provides a barrier against the ready association of transcription factors with specific DNA regions. The dynamics of the formation and disruption of nucleosome structure are, therefore, an important part of eukaryotic gene regulation, and the processes involved are as follows-
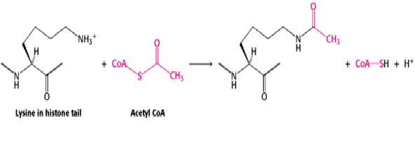
i) Histone acetylation and deacetylation are important determinants of gene activity. Acetylation is known to occur on lysine residues in the amino-terminal tails of histone molecules (Figure 1). This modification reduces the positive charge of these tails and decreases the binding affinity of histone for the negatively charged DNA. Accordingly, the acetylation of histones could result in disruption of nucleosomal structure and allow readier access of transcription factors to cognate regulatory DNA elements. Different proteins with specific acetylase and deacetylase activities are associated with various components of the transcription apparatus.

Figure 1- Shows the Acetylation of lysine residues in the amino-terminal ends of Histones. The positive charge is removed after acetylation.
Thus, histone acetylation can activate transcription through a combination of three mechanisms: by reducing the affinity of the histones for DNA, by recruiting other components of the transcriptional machinery, and by initiating the active remodeling of the chromatin structure (Figure 2).

Figure-2- Acetylation of histones leads to disruption of nucleosomal structure and access of transcription machinery for transcription of required genes
ii) Modification of DNA- The modification of DNA provides another mechanism, in addition to packaging with histones, for inhibiting inappropriate gene expression in specific cell types. Methylation of deoxycytidine residues (Figure-3) in DNA may affect gross changes in chromatin so as to preclude its active transcription. Acute demethylation of deoxycytidine residues in a specific region of the tyrosine aminotransferase gene—in response to glucocorticoid hormones—has been associated with an increased rate of transcription of the gene. However, it is not possible to generalize that methylated DNA is transcriptionally inactive, that all inactive chromatin is methylated, or that active DNA is not methylated.

Figure 3- Methylation of deoxycytidine residues in DNA precludes its active transcription.
iii) DNA binding proteins- The interactions between DNA-binding proteins such as CAP and RNA polymerase can activate transcription in prokaryotic cells. Such protein-protein interactions play a dominant role in eukaryotic gene regulation. In contrast with those of prokaryotic transcription, few eukaryotic transcription factors have any effect on transcription on their own. Instead, each factor recruits other proteins to build up large complexes that interact with the transcriptional machinery to activate or repress transcription.
A major advantage of this mode of regulation is that a given regulatory protein can have different effects depending on what other proteins are present in the same cell. This phenomenon, called combinatorial control, is crucial to multicellular organisms that have many different cell types.
The binding of specific transcription factors to certain DNA elements may result in the disruption of nucleosomal structure. Many eukaryotic genes have multiple protein-binding DNA elements. The serial binding of transcription factors to these elements may either directly disrupt the structure of the nucleosome or prevent its re-formation. These reactions result in chromatin-level structural changes that, in the end, increase DNA accessibility to other factors and the transcription machinery.
2) Enhancers and Repressors- Enhancer elements are DNA sequences, although they have no promoter activity of their own they greatly increase the activities of many promoters in eukaryotes. Enhancers function by serving as binding sites for specific regulatory proteins. An enhancer is effective only in the specific cell types in which appropriate regulatory proteins are expressed. In many cases, these DNA-binding proteins influence transcription initiation by perturbing the local chromatin structure to expose a gene or its regulatory sites rather than by direct interactions with RNA polymerase.
Enhancer elements can exert their positive influence on transcription even when separated by thousands of base pairs from a promoter; they work when oriented in either direction, and they can work upstream (5′) or downstream (3′) from the promoter. Enhancers are promiscuous; they can stimulate any promoter in the vicinity and may act on more than one promoter.
The elements that decrease or repress the expression of specific genes have also been identified. Silencers are control regions of DNA that, like enhancers, may be located thousands of base pairs away from the gene they control. However, when transcription factors bind to them, the expression of the gene they control is repressed.
Tissue-specific gene expression is mediated by enhancers or enhancer-like elements. Many genes are now recognized to harbor enhancer or activator elements in various locations relative to their coding regions. In addition to being able to enhance gene transcription, some of these enhancer elements clearly possess the ability to do so in a tissue-specific manner. Thus, the enhancer element associated with the immunoglobulin genes between the J and C regions enhances the expression of those genes preferentially in lymphoid cells.
3) Locus control regions and Insulators- some regions are controlled by complex DNA elements called locus control regions (LCRs). An LCR—with associated bound proteins—controls the expression of a cluster of genes. The best-defined LCR regulates the expression of the globin gene family over a large region of DNA.
Another mechanism is provided by insulators. These DNA elements, also in association with one or more proteins, prevent an enhancer from acting on a promoter.
4) Gene Amplification- One way to increase the rate at which gene products can be increased is to increase the number of genes available for the transcription of specific molecules. Among the repetitive DNA sequences are hundreds of copies of ribosomal RNA genes and tRNA genes. These genes preexist repetitively in the genomic material of the gametes and thus are transmitted in high copy numbers from generation to generation.
During the early development of metazoans, there is an abrupt increase in the need for specific molecules such as ribosomal RNA and messenger RNA molecules for proteins that make up such organs as the eggshell. Such requirements are fulfilled by the amplification of specific genes. Subsequently, these amplified genes (Figure 4), presumably generated by a process of repeated initiations during DNA synthesis, provide multiple sites for gene transcription.

Figure 4- The gene amplification increases the copy number of genes and hence increases in the amount of gene product
In some cases, several thousand-fold increases in the copy number of specific genes can be achieved over a period of time involving increasing doses of selective drugs. It has been demonstrated in patients receiving methotrexate for cancer that malignant cells can develop drug resistance by increasing the number of genes for dihydrofolate reductase, the target of Methotrexate.
5) Gene Rearrangement- Gene rearrangement is observed during immunoglobulins synthesis. Immunoglobulins are composed of two polypeptides, heavy (about 50 kDa) and light (about 25 kDa) chains. The mRNAs encoding these two protein subunits are encoded by gene sequences that are subjected to extensive DNA sequence-coding changes. These DNA coding changes are needed for generating the required recognition diversity central to appropriate immune function.
IgG heavy and light chain mRNAs are encoded by several different segments that are tandemly repeated in the germline. Thus, for example, the IgG light chain is composed of variable (VL), joining (JL), and constant (CL) domains or segments. For particular subsets of IgG light chains, there are roughly 250-300 tandemly repeated VL gene coding segments, five tandemly arranged JL coding sequences, and roughly ten CL gene coding segments. All of these multiple, distinct coding regions are located in the same region of the same chromosome (Figure 4). By having multiple VL, JL, and CL segments to choose from, and immune cell has a greater repertoire of sequences to work with to develop both immunologic flexibility and specificity.
However, a given functional IgG light chain transcription unit contains only the coding sequences for a single protein. Thus, before a particular IgG light chain can be expressed, single VL, JL, and CL coding sequences must be recombined to generate a single, contiguous transcription unit excluding the multiple nonutilized segments (i.e., the other approximately 300 unused VL segments, the other four unused JL segments, and the other nine unused CL segments). This deletion of unused genetic information is accomplished by selective DNA recombination that removes the unwanted coding DNA while retaining the required coding sequences: one VL, one JL, and one CL sequence. (VL sequences are subjected to additional point mutagenesis to generate even more variability—hence the name.) The newly recombined sequences thus form a single transcription unit that is competent for RNA polymerase II-mediated transcription.

Figure-5- Showing Immunoglobulin m RNA for a light chain formed by transcription of rearranged genes.
6) Alternative RNA Processing
Eukaryotic cells also employ alternative RNA processing to control gene expression. This can result when alternative promoters, intron-exon splice sites, or polyadenylation sites are used. Occasionally, heterogeneity within cell results, but more commonly, the same primary transcript is processed differently in different tissues.
Alternative polyadenylation sites in the immunoglobulin (Ig M) heavy chain primary transcript result in mRNAs that are either 2700 bases long (m) or 2400 bases long (s). This results in a different carboxyl-terminal region of the encoded proteins such that the m protein remains attached to the membrane of the B lymphocyte and the s immunoglobulin is secreted.
Alternative splicing and processing results in the formation of seven unique -tropomyosin mRNAs in seven different tissues (figure-6).

Figure-6- The presence or absence of extra exon can alter the structure and hence the functions of a protein.
7) Class switching- In this process one gene is switched off and a closely related gene takes up the function.
For example- During intrauterine life, embryonic Hb is the first Hb to be formed. It is produced by having two “Zeta” and two “Epsilon” chains. By the sixth month of intrauterine life, embryonic Hb is replaced by HbF consisting of “α2 and y2 chains. After birth HbF is replaced by the adult type of Hb A 1(97%) and HbA2(3%). Thus, the genes for a particular class of Hb are switched off, and those for another class are switched on.
Gene switching is also observed in the formation of immunoglobulins. Ig M is formed during the primary immune response, while IgG is formed during a secondary immune response.
8) mRNA stability-Although most mRNAs in mammalian cells are very stable (half-lives measured in hours), some turn over very rapidly (half-lives of 10–30 minutes). In certain instances, mRNA stability is subject to regulation. This has important implications since there is usually a direct relationship between mRNA amount and the translation of that mRNA into its cognate protein. Changes in the stability of a specific mRNA can, therefore, have major effects on biological processes.
The stability of the m RNA can be influenced by hormones and certain other effectors.
The ends of mRNA molecules are involved in mRNA stability. The 5′ cap structure in eukaryotic mRNA prevents attack by 5′ exonucleases, and the poly(A) tail prohibits the action of 3′ exonucleases.
9. Specific motifs of regulatory proteins- Certain DNA binding proteins having specific motifs bind certain regions of DNA to influence the rate of transcription. The specificity involved in the control of transcription requires that regulatory proteins bind with high affinity to the correct region of DNA. Three unique motifs—the helix-turn-helix, the zinc finger, and the leucine zipper—account for many of these specific protein-DNA interactions. The motifs found in these proteins are unique; their presence in a protein of unknown function suggests that the protein may bind to DNA. The protein-DNA interactions are maintained by hydrogen bonds and van der Waals forces.




