Fatty acids with an odd number of carbon atoms are oxidized by the pathway of β-oxidation, producing acetyl-CoA until a three-carbon (propionyl-CoA) residue remains. The 3- Carbon Propinyl CoA is utilized in the following way:
The fate of propionyl CoA
This compound is converted to succinyl-CoA, a constituent of the citric acid cycle (Figure 1).

Figure-1- Propionyl CoA is carboxylated to produce D-methyl malonyl CoA, which is converted to its L-isomer by the Racemase enzyme. L- Methyl malonyl CoA is finally converted to Succinyl CoA, an intermediate of the TCA cycle.
Biological Significance
The propionyl residue from an odd-chain fatty acid is the only part of a glucogenic fatty acid. Acetyl CoA cannot be converted into pyruvate or oxaloacetate in animals.
Clinical significance
Vitamin B12 deficiency leads to impaired conversion of L-methyl malonyl CoA to Succinyl CoA due to reduced activity of the Mutase enzyme, causing methylmalonic aciduria.
Beta oxidation of unsaturated fatty acids
- In the oxidation of unsaturated fatty acids, most of the reactions are the same as those for saturated fatty acids, only two additional enzymes an isomerase and a reductase are needed to degrade a wide range of unsaturated fatty acids.
- Energy yield is less due to the oxidation of unsaturated fatty acids since they are less reduced.
- Per double bonds, 2 ATP are less formed since the first step of dehydrogenation to introduce a double bond is not required, as the double already exists.
Beta oxidation of monounsaturated fatty acids
- Palmitoleoyl CoA undergoes three cycles of degradation, which are carried out by the same enzymes as in the oxidation of saturated fatty acids (Figure-2).
- The cis– Δ 3-enoyl CoA formed in the third round is not a substrate for acyl CoA dehydrogenase.
- An isomerase converts this double bond into a trans- Δ 2 double bond.
- The subsequent reactions are those of the saturated fatty acid oxidation pathway, in which the trans- Δ 2-enoyl CoA is a regular substrate.

Figure-2- Beta oxidation of Palmitoleoyl CoA(monounsaturated fatty acid)
Beta oxidation of polyunsaturated fatty acids
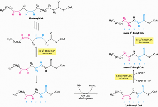
- A different set of enzymes is required to oxidize Linoleic acid, a C18 polyunsaturated fatty acid with cis-Δ 9 and cis-Δ12 double bonds.
- The cis- Δ 3 double bond formed after three rounds of β oxidation is converted into a trans- Δ 2 double bond by isomerase.
- The acyl CoA produced by another round of β oxidation contains a cis- Δ 4 double bond. Dehydrogenation of this species by acyl CoA dehydrogenase yields a 2,4-dienoyl intermediate, which is not a substrate for the next enzyme in the β -oxidation pathway.
- This impasse is circumvented by 2,4-dienoyl CoA reductase, an enzyme that uses NADPH to reduce the 2,4-dienoyl intermediate to Trans-D 3-enoyl CoA.
- cis-Δ 3-Enoyl CoA isomerase then converts trans– Δ 3-enoyl CoA into the trans- Δ 2 form, a customary intermediate in the beta-oxidation pathway.

Figure-3 -Beta oxidation of Linoleoyl CoA (Dienoic acid- containing two double bonds)
Regulation of fatty acid oxidation
- There is regulation at the level of entry of fatty acids into the oxidative pathway by carnitine palmitoyl transferase-I (CPT-I); CPT-I activity is low in the fed state, leading to depression of fatty acid oxidation and high in starvation, allowing fatty acid oxidation to increase.
- Malonyl-CoA, the initial intermediate in fatty acid biosynthesis (figure-4), formed by acetyl-CoA carboxylase in the fed state, is a potent inhibitor of CPT-I. Under these conditions, free fatty acids enter the liver cell in low concentrations and are nearly all esterified to acylglycerols and transported out of the liver in very-low-density lipoproteins (VLDL).
- However, as the concentration of free fatty acids increases with the onset of starvation, acetyl-CoA carboxylase is inhibited directly by acyl-CoA, and [malonyl-CoA] decreases, releasing the inhibition of CPT-I and allowing more acyl-CoA to be -oxidized.
- These events are reinforced in starvation by a decrease in the [insulin]/[glucagon] ratio.
- Thus, beta oxidation from free fatty acids is controlled by the CPT-I gateway into the mitochondria, and the balance of the free fatty acid uptake not oxidized is esterified.

Figure-4- CPT-1(Carnitine palmitoyl Transferase -1) is inhibited by malonyl CoA, the product of the first step of fatty acid synthesis. Active fatty acid synthesis takes place in the well-fed state under the effect of insulin, thus when fatty acid synthesis is active fatty acid oxidation is inhibited. Both processes do not occur simultaneously.




