Storage Polysaccharides

Glycogen, Starch and Inulin are storage polysaccharides.

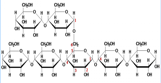
1) Glycogen 

  • Glycogen is a readily mobilized storage form of glucose.
  • It is a very large, branched polymer of glucose residues (Figure-1) that can be broken down to yield glucose molecules when energy is needed.
  • Most of the glucose residues in glycogen are linked by α-1,4-glycosidic bonds.
  • Branches at about every eighth to the tenth residue are created by α-1,6-glycosidic bonds.
  • It is the storage polysaccharide in animals and is sometimes called, ‘Animal starch’, but it is more branched than amylopectin present in starch.

Figure- 1- The structure of glycogen, the branch point is created by the α-1,6-glycosidic linkage 

  • It is hydrolyzed by both α and β-amylases and by glycogen phosphorylase. The complete hydrolysis yields glucose.
  • Glycogen on reaction with iodine gives a reddish-brown color.
  • Glycogen is stored in muscle and liver. The concentration of glycogen is higher in the liver than in muscle (10%versus 2% by weight), but more glycogen is stored in skeletal muscle overall because of its much greater mass.
  • Glycogen is present in the cytosol in the form of granules ranging in diameter from 10 to 40 nm.
  • In the liver, glycogen synthesis and degradation are regulated to maintain blood glucose levels as required to meet the needs of the organism as a whole. In contrast, in muscle, these processes are regulated to meet the energy needs of the muscle itself.

Glycogen is not as reduced as fatty acids are and consequently not as energy-rich, but still, animals store energy as glycogen?

All excess fuel is not converted to fatty acids. Glycogen is an important fuel reserve for several reasons:

  • The controlled breakdown of glycogen and the release of glucose increase the amount of glucose that is available between meals. Hence, glycogen serves as a buffer to maintain blood glucose levels.
  • Glycogen’s role in maintaining blood glucose levels is especially important because glucose is virtually the only fuel used by the brain, except during prolonged starvation.
  • Moreover, the glucose from glycogen is readily mobilized and is, therefore, a good source of energy for sudden, strenuous activity. Unlike fatty acids, the released glucose can provide energy in the absence of oxygen and can thus supply energy for anaerobic activity.

2) Starch

  •  It is a polymer of glucose, found in roots, rhizomes, seeds, stems, tubers, and corms of plants, as microscopic granules having characteristic shapes and sizes.
  • Most animals, including humans, depend on these plant starches for nourishment.
  • The intact granules are insoluble in cold water, but grinding or swelling them in warm water causes them to burst. The released starch consists of two fractions.
  • About 20% is a water-soluble material called Amylose.
  • The majority of the starch is a much higher molecular weight substance, consisting of nearly a million glucose units, and called amylopectin.

(a) Amylose

  • It is a linear polymer of α-D-glucose, linked together by α 1→4 glycosidic linkages.
  • It is soluble in water, reacts with iodine to give a blue color and
  • The molecular weight of Amylose ranges between 50, 000 – 200, 000.

 Figure-2- Structure of Amylose and Amylopectin

(b) Amylopectin 

  • It is a highly branched polymer, insoluble in water, reacts with iodine to give a reddish violet color.
  • The molecular weight ranges between 70, 000 – 1 000, 000.
  • Branches are composed of 25-30 glucose units linked by α 1→4 glycosidic linkage in the chain and by α 1→6 glycosidic linkage at the branch point.

Figure-3 – Structure of Amylopectin

Hydrolysis: Hydrolysis of starch with hot dilute acids or by enzymes gives dextrins of varying complexities, maltose and finally D-glucose

3) Inulin

  • Inulin is a polysaccharide of fructose (and hence a fructosan) found in tubers and roots of dahlias, artichokes, and dandelions.
  • It is readily soluble in water and is not hydrolyzed by intestinal enzymes.
  • It has a lower molecular weight than starch and colors yellow with iodine.
  • It is used to determine the glomerular filtration rate, Inulin is of particular use as it is not secreted or reabsorbed in any appreciable amount at the nephron allowing GFR to be calculated, rather than total renal filtration. However, due to clinical limitations, Inulin is rarely used for this purpose and creatinine values are the standard for determining an approximate GFR.

 

Leave a Comment

×