Structure and functions of cholesterol
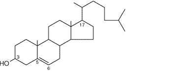
Cholesterol is the major sterol in the animal tissues. The structure of cholesterol consists of four fused rings (the rings in steroids are denoted by the letters A, B, C, and D), with the carbons numbered in the sequence, and an eight numbered, and branched hydrocarbon chain attached to the D ring. Cholesterol contains two angular methyl groups: the C-19 methyl group is attached to C-10, and the C-18 methyl group is attached to C-13. The C-18 and C-19 methyl groups of cholesterol lie above the plane containing the four rings. A double is there between C5 and C6.

Figure-1-a) showing the structure of cholesterol,

Figure-b)- Showing the numbering in the four fused rings.
Much of the plasma cholesterol is in the esterified form (with a fatty acid attached at carbon 3), which makes the structure even more hydrophobic and because of its hydrophobicity, cholesterol must be transported either in association with protein as a component of lipoprotein particle or solubilized by phospholipids and bile salts in the bile.)
Functions of cholesterol- Cholesterol is the most abundant sterol in humans and performs several essential functions in the body. For example-
1) It is a major constituent of the plasma membrane and plasma lipoproteins.
2) It is a precursor of bile salts,
3) It is a precursor of steroid hormones that include adrenocortical hormones, sex hormones, placental hormones, etc.
4) Also, a precursor of vitamin D, cardiac glycosides, sitosterol of the plant kingdom, and some alkaloids.
3) It is required for nerve transmission. Cholesterol is widely distributed in all cells of the body but is particularly abundant in nervous tissue.
As a typical product of animal metabolism, cholesterol occurs in foods of animal origin such as egg yolk, meat, liver, and brain. Plasma low-density lipoprotein (LDL) is the vehicle of the uptake of cholesterol and cholesteryl ester into many tissues. Free cholesterol is removed from tissues by plasma high-density lipoprotein (HDL) and transported to the liver, where it is eliminated from the body either unchanged or after conversion to bile acids in the process known as reverse cholesterol transport. Cholesterol is a major constituent of gallstones. However, its chief role in pathologic processes is as a factor in the genesis of atherosclerosis of vital arteries, causing cerebrovascular, coronary, and peripheral vascular disease.




